Operational Frameworks & Stakeholder Alignment

Sustainable programs require clear frameworks and aligned teams. I built onboarding processes, SOPs, and stakeholder tools that provided clarity, consistency, and long-term scalability.

The following work samples have been adapted and redacted from projects I led at various companies. Proprietary details have been removed and content is shared for illustrative purposes only.

True alignment requires clarity of roles and responsibilities. I developed a RACI matrix that laid out exactly who was Responsible, Accountable, Consulted, and Informed across workstreams. This gave stakeholders certainty in their roles and removed ambiguity that often slows progress. It highlights my ability to not only facilitate alignment but to lock it into the operating model.

Large-scale programs succeed only when stakeholders are aligned. I facilitated working sessions that brought PwC, Compliance, Internal Audit, and IT together to address recurring issues and align on remediation paths. The Launch Lab captured these discussions and created a shared foundation for progress. This demonstrates my ability to cut across silos and keep diverse teams moving in the same direction.

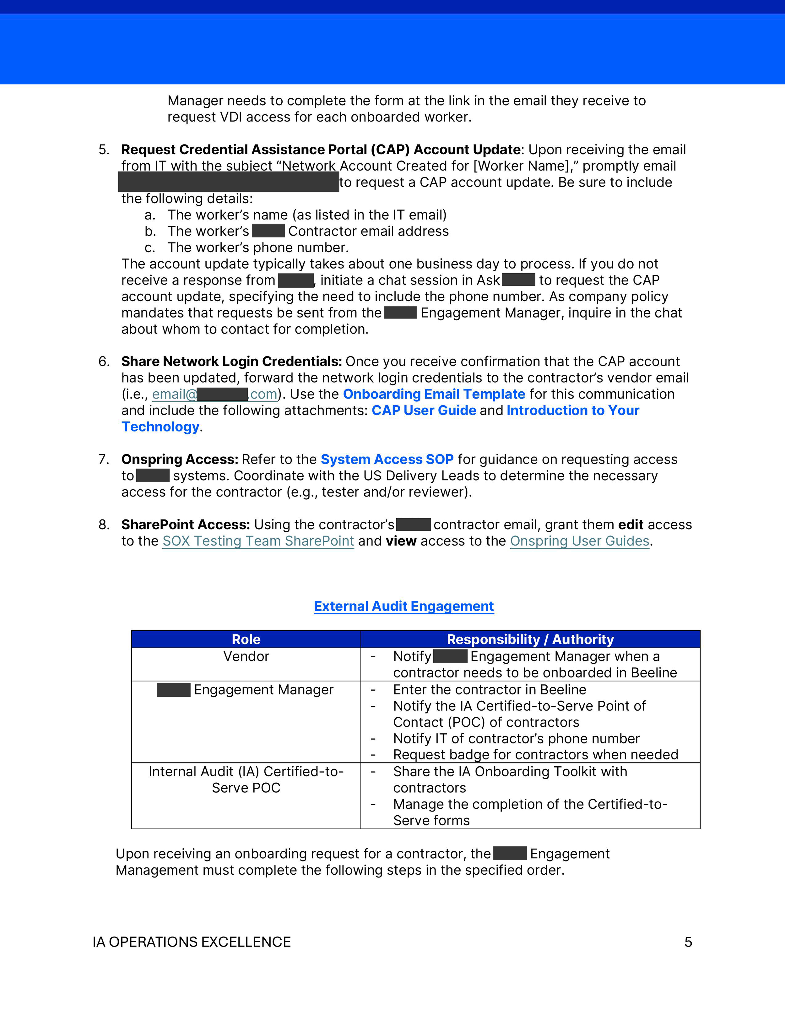
A strong onboarding framework is reinforced by clear documentation. I authored SOPs that laid out step-by-step guidance for consultants, giving new team members a reliable reference from day one. By pairing these SOPs with trackers and kickoff sessions, I ensured onboarding was not only efficient but also sustainable as the team scaled.

Beyond tracking, I documented the onboarding process in detailed SOPs. These SOPs covered step-by-step guidance, from access requests to training flows. By doing so, I turned onboarding into a repeatable, reliable process. Together, the tracker and SOP demonstrate how I design onboarding experiences that are both practical and scalable.

Successful onboarding is not about paperwork, it is about setting teams up for success from day one. I built trackers that monitored onboarding progress and assignments across a large team, ensuring consistency and accountability. This structure gave new team members clarity and leadership confidence that no steps were missed.

Previous
Previous

Reporting & Oversight